你是否曾被色差仪上Lab和L*a*b*搞得一头雾水?你是否曾好奇hab和△H*ab究竟是什么意思?别急!一起来了解一下吧!

Lab
属于HunterLab颜色空间,也称为亨氏Lab,是理查德・亨特在20世纪40年代提出的新三刺激色彩模型。基于颜色对立理论的三维直角坐标系,不带星号。

L*a*b*
属于CIELab颜色空间,由国际照明委员会(CIE)于1976年提出的均匀色空间,也是HunterLab的升级版本,用于描述人眼可见的所有颜色,带有星号以区分参数。
Lab
好彩娱乐~welcome官网L:表示亮度/暗度,白色为100,黑色为0,用于表示深色和浅色调之间的差异。
a:代表红绿轴,正a为红色,负a为绿色;
b:代表黄蓝轴,正b为黄色,负b为蓝色。
L*a*b*
L*a*b*数值与Lab数值的含义基本相同,只对HunterLab的原始数学方法做了一些小改动。
Lab
色差公式为:ΔEH
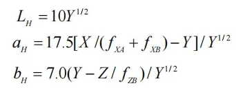
计算方法如下:

式中:
LH,aH,bH:亨特色空间的明度和色彩指数
好彩娱乐~welcome官网X,Y,Z:样品的三刺激值
好彩娱乐~welcome官网fXA,fXB,fZB:常数,随选用的标准色度观察者和标准照明体不同而改变。

L*a*b*
好彩娱乐~welcome官网色差公式为:ΔE*ab,常写作ΔE*
计算方法如下:

式中:
△L*:代表明度差
好彩娱乐~welcome官网△a*:代表红绿色品差
△b*:代表黄蓝色品差
Lab
好彩娱乐~welcome官网虽然没有通过正式的国际标准认证,但在描绘绝对色坐标和颜色间差异方面得到了广泛认可。
L*a*b*
国际通用标准,被全球色差仪厂家采用,并沿用至今。