色度图是黑体轨迹的函数表达式v=f(u)在色度学中以色度坐标表示的平面图。关于CIE色度图,有一个很直观的解读,一起来看看吧
好彩娱乐~welcome官网黑体不同温度的光色变化在色度图上又形成了一个弧形轨迹这个轨迹叫做普朗克轨迹或黑体轨迹。
好彩娱乐~welcome官网色度学系统的应用随着人们交流、传输、研究颜色信息的需要已经建立了多种各具特色的表色系统本研究采用了CIE1931标准色度学系统和CIE1976均匀色空间。
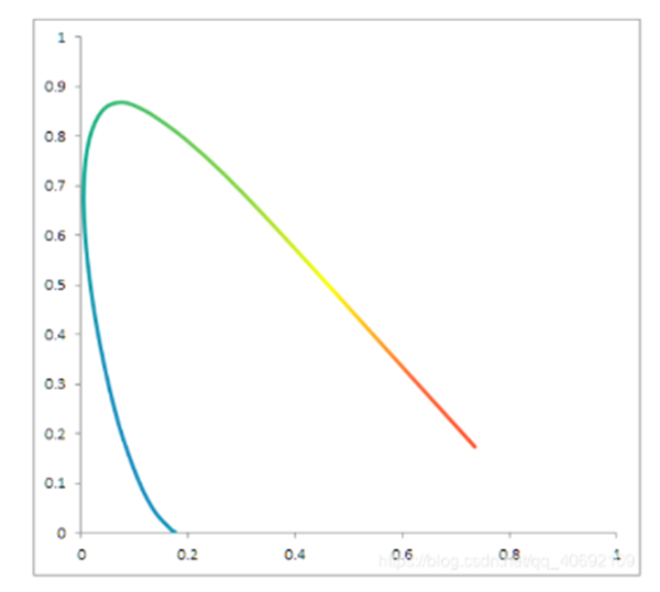
好彩娱乐~welcome官网从380nm到780nm的光谱色在CIE 1931 RGB色度图上的轨迹长这样:
而所有人眼能识别出来的颜色,都由单色光相加而成,因此上图曲线上的任意两点画出来的线段所覆盖的范围,就是“人眼能看见的所有颜色”的区域大小。这就是人眼分辨能力的极限。
把这个区域用彩色填充出来,就长这样:

好彩娱乐~welcome官网注意看,下面的这条直线,是380nm和780nm的连线。它构成了色域的另一个边界。
不过,上面边界的曲线是和单色光一一对应的,而下面边界的这条直线却没有单色光对应,而是两个光谱色的混合色轨迹。因为它是红色和蓝色的混合,所以主要是紫色的。这意味着,没有单色光形成的紫色。所有带紫的颜色,什么紫红色,品红色,都是所谓的“谱外色”。(这是不是就是紫色让人感到神秘的原因呢?)
好彩娱乐~welcome官网任何两个单色光混合的新颜色,要么就正好踩在光谱轨迹上,要么就在光谱轨迹包围的面积之内,绝不会跑到外面去。

好彩娱乐~welcome官网经过CIE的刻意设计,当XYZ三刺激值达到一个均衡状态的时候,就会形成白色。位于(x=0.3333, y=0.3333)位置的点,代表着三原色各占1/3,就是一个理想的等能白光E。中间这一大片,都是各种不同的白色。也就是是饱和度为0的消色(可能是黑色,也可能是白色)。
其中,除了专门用于理论研究的、假想出来的等能白光E点之外,还有个非常重要的白点:C点。它的全称是CIE标准光源C,相当于中午阳光的颜色。(注意看一下上图,光源C和E的位置相隔不远,C略比E色温高一点。)

那么从色度图上,如何看颜色的三属性呢?
1. 色相(主波长)
假设现在有一个颜色点Q。
由C通过Q作一直线至光谱轨迹,相交于S点,此时就称Q颜色的主波长为S。S的色相就是Q的色相(一个近似,不完全准确)。

2. 纯度(饱和度)
好彩娱乐~welcome官网Q离开C点(或者E点)、接近光谱轨迹的程度,称为纯度,约等于饱和度。
好彩娱乐~welcome官网从图上可以看出,越靠外的颜色点,越接近饱和度最高的光谱色。所以颜色的饱和度是越靠近边界越高,越靠近白点越低。
3. 明度
至于明度嘛。。。色度图是一个二维的图对不对?而色空间是一个三维空间,所以色度图是不包含明度信息的。
好彩娱乐~welcome官网也就是说,色度图的坐标,标注的是RGB三原色之间的比例,是相对大小,不是绝对大小。白色和黑色对它来说坐标一样,所有低明度的颜色在色度图上都没有,这一点要注意。
色域
好彩娱乐~welcome官网我们已经知道,G和B形成的混合色,颜色坐标会在G和B的连线上。反过来说,G和B的连线上所有的颜色,都可以由G和B混合实现。
好彩娱乐~welcome官网那么,如果再添加一个R光,就会在色度图上形成一个三角形对不对?这个三角形里的所有的颜色,都可以通过RGB三色的混合而形成。这不就是RGB加法色的色域吗?
这个三角形面积越大,能显示的颜色也就越多。
好彩娱乐~welcome官网但是,不管如何选择RGB三原色的坐标点,都不可能覆盖整个CIE色域。这就是光谱轨迹的形状所决定的。
因此采用三原色混合色生成人眼能看到的所有颜色,从理论上来说就是不可能的。

为了让显示器达到更大的色域,只能尽量让RGB三原色的坐标越靠外越好,也就是RGB三原色的饱和度越高越好。
But,由于材料物理特性的限制,饱和度提高,亮度就会相应的下降。想要亮度不下降,就得加钱。所以,一个商业用的显示器,色域一定是综合考虑饱和度、亮度、成本的折中方案。
好彩娱乐~welcome官网还有一种扩大色域的方案,就是增加一个原色,从三角形变成四边形。多年以前,Sharp曾经在的他家的电视上推出了“四色技术”,在RGB的基础上增加了黄色。从实物的效果看,的确很赞!除了贵没别的缺点。

其实不同的观察者,对颜色的感觉是不一样的。比如年龄就会影响人对颜色的感觉。
好彩娱乐~welcome官网所以颜色匹配试验的数据,是对很多人的测试数据取平均,代表了人眼的平均颜色视觉特性。
好彩娱乐~welcome官网这个实际上不存在的、代表中值水平的观察者,被叫做“标准色度观察者”。
好彩娱乐~welcome官网所以如果你觉得自己的颜色感觉和CIE有那么一丢丢不一样,其实是正常的。